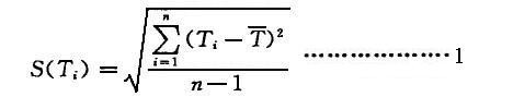
高低溫試驗箱測試后,對一組修正后的測試數據的某個極大或極小值有懷疑時,應利用專業知識找出原因,在未判明它是否合理前,既不要輕易保留,也不要隨意剔除,可用下述方法判別,決定取舍。 一、利用式1、式2算出數據的平均值及單次測得值的標準偏差:

式中: Ti----第i次測量值,單位為攝氏度(℃); T-----溫度平均值,單位為攝氏度(℃); S(Ti)-----單次測得值的標準偏差,單位為攝氏度(℃); n-----測量次數。 二、求格拉布斯準則計算統計量:

式中: T(a)-----測量數據的極大值式極小值,單位為攝氏度(℃); 三、對于本標準,取顯著水平a=0.01,臨界值G99(n)為: n=30時,G99(n)=3.103; n=29時,G99(n)=3.085; n=28時,G99(n)=3.068; n=27時,G99(n)=3.049; 高低溫試驗箱當|G(n)| >G99(n)時,則舍去該T(a)值,并重新按式1、式2計算剩下數值的平均值及標準偏差和G(n),按本法檢驗直到無可疑數據為止。
|